百家乐怎么玩-澳门百家乐官网娱乐城网址_网上百家乐是不是真的_全讯网888 (中国)·官方网站

兩岸四地消費者信心 內地微升 港澳臺均下跌 港人購買房屋信心大幅下降

 

 
香港城市大學(城大)管理科學系統計諮詢中心的最新調查顯示,2016年第四季的兩岸四地消費者信心指數,中國內地微升、香港、澳門及臺灣則下跌。其中港人對購買房屋的信心更比上一季度大幅下跌兩成,是2016年度最低水平。
 
消費者信心指數最高分為200分,表示受訪者「信心飽滿」;最低分為0分,表示受訪者「全無信心」。指數低於100分表示受訪者「信心不足」;高於100分表示「頗有信心」。
 
在消費者信心指數涵蓋的六大範疇中,香港有一類(購買房屋)的單項指數遠低於100分;另三類(經濟發展、物價狀況、投資股票)的單項指數介乎70至100分;只有兩類(生活狀況、就業狀況)的指數略高於或非常接近100分(詳見表一)。
 
香港消費者的最大擔憂仍在於購買房屋,在這方面的信心指數錄得45.1分,比上一季度大降20.9%,更是本年度的最低水平。
 
物價方面的信心指數錄得68.8分,較上一季度下跌5.6%,反映市民對物價方面的信心較上季度差。在經濟發展方面,信心指數錄得88.3分,較上一季度微跌1.6%。在投資股票方面,信心指數錄得81.9分,較上一季下跌2.8%。就業狀況信心指數錄得99.3分,與上一季度相若。
 
生活狀況信心指數錄得105.9分,較上一季度微跌1.2%,是六個單項指數之中得分最高者,但只略高於分界線即100分,反映市民的信心僅屬中性。
 
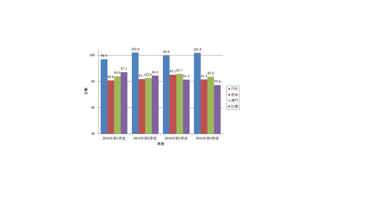
將兩岸四地的2016年第四季度消費者信心互相比較,可見中國內地的信心最高(101.8分),隨後是澳門(83.6分)、香港(81.5分)及臺灣(77.2分)(詳見圖一)。中國內地消費者信心指數較上季度上升1.9分,香港、澳門及臺灣則比上季度分別下跌3.6分、2.1分及4.1分。
 
兩岸四地消費者信心指數首次在2009年第一季面世,此後每季度公佈一次,以便市場人士和專家分析、比較中國內地、香港、澳門、臺灣四地消費者的意見,了解他們對當地的經濟、就業、物價、生活、購買房屋、投資股票六方面的信心。調查由分別位於四地的五所大學聯合進行,城大負責研究香港地區的消費者信心。香港地區2016年第四季的消費者信心調查從2016年12月12日至12月27日進行,受訪者是1,007名年滿18歲且常住於本地的香港居民。

 

 

 

 

 

表一:香港消費者信心指數(最近四個季度)
類別
2016
第1季度
2016
第2季度
2016
第3季度
2016
第4季度
經濟發展
78.9
79.9
89.7
88.3
就業狀況
90.6
89.3
99.7
99.3
物價狀況
72.6
76.6
72.9
68.8
生活狀況
101.4
103.9
107.2
105.9
購買房屋
64.5
66.6
57.0
45.1
投資股票
76.5
73.9
84.3
81.9
CCI整體指數
80.8
81.7
85.1
81.5
 
 
 
 
 
傳媒查詢:
 
城大管理科學系副教授、統計諮詢中心主任曹國輝博士(電話:852-9020 9996)

你可能感興趣

Back to top
百家乐代理合作| 百家乐官网庄闲桌子 | 利博百家乐官网破解| 逊克县| 德州扑克发牌视频| 百家乐详情| 镇坪县| 网络真人赌场| 响水县| 足球投注技巧| 大发娱乐城888| 皇冠足球比分网| 英皇娱乐| 皇冠网219678| 肥城市| 百家乐官网是如何骗人的| 百家乐官网破解之法| 威尼斯人娱乐城优惠条件| 法拉利百家乐的玩法技巧和规则 | 百家乐官网出千手法| 百家乐官网好不好玩| 大发888官方网| 威尼斯人娱乐城排名| 跨国际百家乐的玩法技巧和规则| 百家乐推筒子| 蓝盾百家乐的玩法技巧和规则 | 百家乐和的打法| 威尼斯人娱乐城注册| 疯狂水果机怎么玩| 大发888游乐场下载| 博彩通天上人间| 在线百家乐官网3d| 网上玩百家乐官网会出签吗| 网址百家乐官网的玩法技巧和规则| 环球百家乐现金网| 赢家百家乐的玩法技巧和规则| 威尼斯人娱乐场28gxpjwnsr| 菲律宾百家乐娱乐| 大发888怎么打不开| 虹乐棋牌是真的吗| 南非太阳城皇宫酒店|